I should have anticipated this, but it was late at night.
You may need to first be convinced that MathType has its uses (if you are a LaTeX user). For the record, LaTeX has it’s uses too.
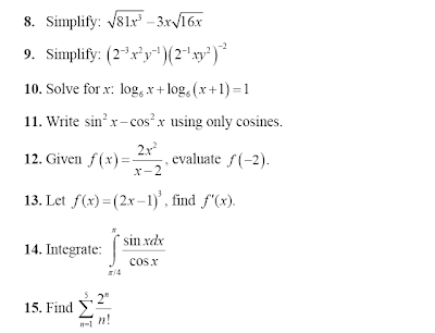
Here is my Equation Challenge! Type the following 15 problems using the program of your choice. (download it here in pdf)


I can type it in just under 5 minutes (watch that here). How long does it take you? If you can do it quickly in the equation editor you use, please record an example and comment it in.
I’m also giving you a link to a video in which I walk through the solutions to 20 derivative problems using MathType to write the math. You might be surprised to see that I can write the mathematics as fast as I can discuss it. I am (for the most part) not using the mouse.
(jump to the 1 minute mark to skip the mathematical explanations – and please keep in mind that this is not a pedagogical example – it is a video of the solutions to an exercise that the students work on after learning the derivative rules)